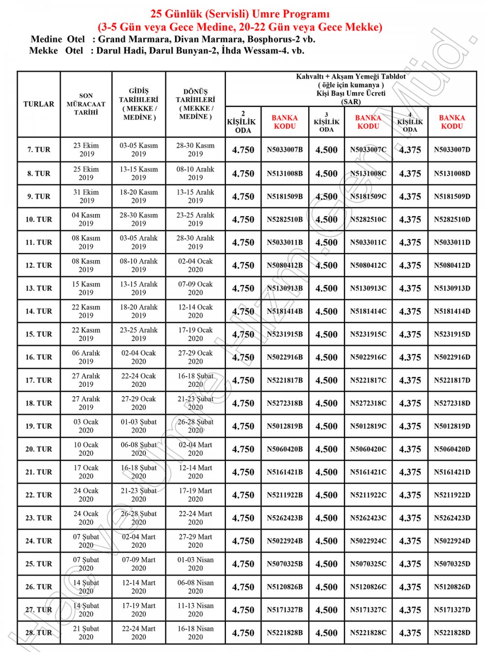
Buna göre Diyanet İşleri Başkanlığı 2019 yılı 2. dönem umre fiyatları şöyle: